Alessandria, urina davanti al bar: proprietario gli spara e lo uccide!

Discussione in 'Off-Topic' iniziata da Steve_Warson, 7 Ottobre 2008.

  1. t.a.g.

    t.a.g. Direttore Corse

    1.672
    756
    23 Dicembre 2006
    Reputazione:
    295.509
    BMW Z4segàra+F800GSarrogaperda
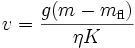
    non proprio. essendo un moto nel fluido "aria" e non nel vuoto, devi considerare che ad un certo punto raggiunge la velocità limite (detta anche "di regime"):
    per il secondo principio della dinamica, in condizioni di equilibrio dinamico, si ha la relazione
    [​IMG] si avrebbe, considerando le forze applicate al proiettile in caduta libera (il suo Peso, la Spinta di Archimede (in questo caso, praticamente trascurabile) e la forza di attrito viscoso), in condizioni di equilibrio:
    [​IMG] sommando i moduli delle forze (le forze considerate hanno tutte la stessa direzione), si ottiene: mg = ηKv + ρgV (dove m=massa del corpo, ρ=densità del fluido, V volume del corpo o del liquido spostato).
    quindi dalla formula precedente si può ricavare la velocità di regime
    [​IMG]
    oppure, se è nota la massa di fluido (mfl) spostata
    [​IMG] questo fenomeno è quello x cui ad es., i paracadutisti, dopo un certo numero di secondi dopo che si sono lanciati in caduta libera, raggiungono la velocità di regime, alla quale continuano la caduta a velocità costante.

    :wink:
     
  2. SIMOSBRAZ

    SIMOSBRAZ Amministratore Delegato BMW

    2.864
    67
    14 Gennaio 2008
    Reputazione:
    11.348
    123d M-Sport 'My 2011 204cv
    quoto tag...

    cosa accadrebbe allora con la grandine...... ammazzerebe centinaia di persone.. suvvia.. e quelli son chicchi anche grossi come arance... ;)
    ci son tanti fattori da tenere in considerazione , quali anche la velocita' del vento...ecc ecc
     
    Ultima modifica di un moderatore: 8 Ottobre 2008
  3. t.a.g.

    t.a.g. Direttore Corse

    1.672
    756
    23 Dicembre 2006
    Reputazione:
    295.509
    BMW Z4segàra+F800GSarrogaperda
    si, non li ho citati volutamente xchè quelli andrebbero visti caso x caso, e sono x di più variabili in modulo, direzione e verso... :wink:
     
  4. Steve_Warson

    Steve_Warson Secondo Pilota

    878
    41
    4 Luglio 2007
    Reputazione:
    10
    b
    Le persone convinte che per avere più sicurezza si debba comprare un’arma, commettono un errore logico e ideologico. Queste persone, infatti, credono che il problema della criminalità si possa risolvere con una maggiore diffusione d’armi tra la popolazione.
    L'evidenza a dei fatti dice il contrario: questo modo di ragionare porta piuttosto ad un escalation di violenza. Ci vedremo tutti armati e vincerà chi spara per primo oppure ha l’arma più potente. Il che è una cosa assurda. ](*,)

    «Quando un uomo con la pistola incontra un uomo col fucile, l'uomo con la pistola è un uomo morto.» Clint Eastwood
     
    Ultima modifica di un moderatore: 8 Ottobre 2008
  5. t.a.g.

    t.a.g. Direttore Corse

    1.672
    756
    23 Dicembre 2006
    Reputazione:
    295.509
    BMW Z4segàra+F800GSarrogaperda
    quoto al 100%... vedi USA. :confused:
     
  6. Gianlu320cd ///M

    Gianlu320cd ///M Presidente Onorario BMW

    9.624
    394
    13 Gennaio 2007
    Reputazione:
    2.473.365
    530xd LCI futura
    E' impensabile sparare contro a una persona....specie per un motivo futile del genere....
    La mia massima risposta irosa sarebbe stata prenderlo e dargli due *****tti..se proprio volevo essere violento....e poi ancora....alla fine mi sta concimando le aiuole....
    Per la serie..."come se fosse solo lui a pisciare per strada...a quest'ora dovrei ammazzare mezzo mondo..."...

    Roba da matti! Far West....

    Ormai non c'è più cognizione...
     
  7. Zampolo

    Zampolo Direttore Corse

    1.885
    147
    19 Febbraio 2007
    Reputazione:
    55.816
    N54 + PK
    Se avessi trovato il tizio del bar, a quest'ora io sarei già stato ucciso quelle 15/20 volte:mrgreen:

    ps. sgrat ssgrat
     
    A 1 persona piace questo elemento.
  8. SIMOSBRAZ

    SIMOSBRAZ Amministratore Delegato BMW

    2.864
    67
    14 Gennaio 2008
    Reputazione:
    11.348
    123d M-Sport 'My 2011 204cv
    azzz, mettici una fascetta di plastica..... non ti titarla troppo pero' ehh :D
     
  9. guddrum

    guddrum Amministratore Delegato BMW

    3.818
    169
    18 Settembre 2006
    Reputazione:
    502.773
    530D E60 - 320d e91 - golf IV 130 cv


    tutto quello che vuoi, ma il tizio LO HA AMMAZZATO!!!!
     
  10. tamb

    tamb Primo Pilota

    1.069
    135
    1 Aprile 2007
    Reputazione:
    4.390
    Diesel
    IL tizio ha avuto la sfiga nell'andare a fare l'animale davanti alla persona sbagliata.
    Non giustifico la follia di un omicida per carità e ti do ragione;morto no,con le ossa rotte sarebbe stato meglio ma tant'è...
     
  11. Gianlu320cd ///M

    Gianlu320cd ///M Presidente Onorario BMW

    9.624
    394
    13 Gennaio 2007
    Reputazione:
    2.473.365
    530xd LCI futura
    Con questa frase vuoi dire che quello là è stato in un certo senso "indotto" ad agire così???
    Ma stai scherzando vero??? LO HA AMMAZZATO...perchè pisciava contro la siepe.....ma siamo deficienti o cosa???
     
  12. -mauri-

    -mauri- Amministratore Delegato BMW

    2.517
    170
    16 Maggio 2005
    Reputazione:
    5.278
    Rottami vari.
    Gli avesse pisciato sulla vetrina posso anche capire il gesto di rabbia...

    Così invece è proprio da deficenti.
    :(
     
  13. Gianlu320cd ///M

    Gianlu320cd ///M Presidente Onorario BMW

    9.624
    394
    13 Gennaio 2007
    Reputazione:
    2.473.365
    530xd LCI futura
    ma poi ancora...](*,)](*,)
    Ma signore pietà!! (per non dire altro!)...ma l'omicidio DEVE essere l'ultima cosa che passa per la testa a un'umano (se non l'unica cosa che NON deve passare per la testa...)....

    Le uniche persone che IMHO non meritano di rimanere in vita sono gli stupratori....UNICA CATEGORIA DI UM...no non sono umani....:wink:
     
  14. tamb

    tamb Primo Pilota

    1.069
    135
    1 Aprile 2007
    Reputazione:
    4.390
    Diesel

    Quello che intendevo dire l'ho detto chiaramente.
    Se a te non piace allora vediamo le cose in modi diversi :wink:
     
  15. Gianlu320cd ///M

    Gianlu320cd ///M Presidente Onorario BMW

    9.624
    394
    13 Gennaio 2007
    Reputazione:
    2.473.365
    530xd LCI futura
    Quindi se per caso passo per la tua strada in macchina....e mi scappa così tanto da pisciare che sto per svenire....mi fermo lì perchè non ho altro posto e a casa non ci arrivo...la faccio contro una siepe...magari proprio dietro casa tua...cosa fai?? Mi spari?? :D:D
     
  16. tamb

    tamb Primo Pilota

    1.069
    135
    1 Aprile 2007
    Reputazione:
    4.390
    Diesel
    No,direi all'interessato che sta pisciando sulla siepe del mio giardino (non voglio rivolgermi a te nemmeno ipoteticamente :wink: ) che è un animale,e se lui rispondesse con atteggiamento non adeguato al suo essere in torto marcio non avrei esitazioni a tirare fuori il pisello ed a pisciargli addosso alla sua macchina,e se i finestrini sono aperti,affari suoi :confused:
    A seguire,se servono,le maniere forti,ed in caso quelle estremamente forti,a seconda di quel che serve a difendere la mia incolumità.
    Non escludo l'omicidio perchè non so fino a dove si spinga l'essere umano in certe circostanze :confused:
     
  17. tamb

    tamb Primo Pilota

    1.069
    135
    1 Aprile 2007
    Reputazione:
    4.390
    Diesel
    Sottolineo cmq che personalmente non mi è mai capitato di dover pisciare lungo una strada,sono sempre riuscito ad organizzarmi prima od a entrare in un bar.
     
  18. Gianlu320cd ///M

    Gianlu320cd ///M Presidente Onorario BMW

    9.624
    394
    13 Gennaio 2007
    Reputazione:
    2.473.365
    530xd LCI futura
    Allora così ti posso dare ragione...
    Ho avuto paura che per una minuscolissima parte avessi appoggiato l'omicidio....:confused::confused: #-o#-o

    Bè guarda...fossi stato io...ti avrei risposto semplicemente...."scusi...mi stava uscendo fin dal naso....e a casa non ci arrivavo...."
     
  19. tamb

    tamb Primo Pilota

    1.069
    135
    1 Aprile 2007
    Reputazione:
    4.390
    Diesel
    E infatti mi viene da pensare che sia proprio li il punto di quel che è successo...
    Chi di noi non comprenderebbe una situazione del genere?
    Bisogna vedere come si è comportato il "pisciatore",e questo non lo sappiamo.
    Se si è comportato con strafottenza non mi fa assolutamente pena la sua dipartita,e non credo abbia dimostrato molta umiltà per farsi sparare :confused:
     
  20. Gianlu320cd ///M

    Gianlu320cd ///M Presidente Onorario BMW

    9.624
    394
    13 Gennaio 2007
    Reputazione:
    2.473.365
    530xd LCI futura
    Sì sì...questo lo appoggio pienamente....;)
    La cosa che voglio dire io è che comunque l'omicidio non ha una vera scusante....dai su...anche un ********** ben dato alla persona sbagliata...di prendi le tue botte magari....ma uccidere....mi sembre da fuori di cervello...non trovate??
     

Condividi questa Pagina